


寧經理:18853131830,15553139909
王經理:18615581926
銷售一部:0531-88760590
銷售二部:0531-88786527
工廠地址: 濟南高新區孫村鎮大正路與世紀大道交叉口東50米
銷售地址:山東省濟南市高新區聯合財富廣場1號樓907
Amino Trimethylene Phosphonic Acid (ATMP)
CAS No. 6419-19-8
別名:氨基三亞甲基膦酸、ATMPA、次氮基三亞甲基三膦酸、次氮基三亞甲基膦酸
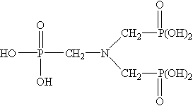
分子式 N(CH2PO3H2)3 相對分子質量:299.05
結構式 

ATMP具有良好的螯合、低限抑制及晶格畸變作用。可阻止水中成垢鹽類形成水垢,特別是碳酸鈣垢的形成。ATMP在水中化學性質穩定,不易水解。在水中濃度較高時,有良好的緩蝕效果。
ATMP用于火力發電廠、煉油廠的循環冷卻水、油田回注水系統。可以起到減少金屬設備或管路腐蝕和結垢的作用。ATMP在紡織印染等行業用作金屬離子螯合劑,也可用于金屬表面處理劑等。
ATMP固體為白色顆粒狀,易溶于水,易吸潮,易于運輸和使用,尤其適用于冬季嚴寒地區。
項 目 | 指 標 | |
符合HG/T 2841-2005 | 符合HG/T 2840-2010 | |
外 觀 | 無色或淡黃色透明液體 | 白色顆粒狀固體 |
活性組分(以ATMP計) /% | ≥50 | ≥93 |
氨基三甲叉膦酸含量/% | ≥40 | ≥88 |
亞磷酸(以PO33-計) /% | ≤3.5 | ≤3.0 |
磷酸(以PO43-計)/% | ≤0.8 | ≤0.8 |
pH(1%水溶液) | ≤2.0 | ≤2.0 |
密度(20℃) /g·cm-3 | ≥1.30 | -- |
氯化物(以Cl-計)/% | ≤2.0 | ≤1.0 |
鐵(以Fe2+計)含量/mg·L-1 | ≤20.0 | ≤20.0 |
ATMP常與其它有機膦酸、聚羧酸或鹽等復配成有機水處理劑,用于各種不同水質條件下的循環冷卻水系統。用量以1~20mg/L為佳;作緩蝕劑使用時,用量為20~60mg/L。
ATMP液體用塑料桶包裝,每桶30kg或250kg;ATMP固體用內襯聚乙烯袋的塑料編織袋包裝,每袋凈重25kg,也可根據用戶需要確定。貯于室內陰涼通風處,防潮、嚴防曝曬,貯存期十二個月。
ATMP為酸性,操作時注意勞動保護,應避免與皮膚、眼睛等接觸,接觸后應立即用大量清水沖洗。
致力于優化每個水處理項目,打造中國環保行業品牌企業
保護環境是我們每個人的責任和義務